巩义市仁源水处理材料厂
联系人:孙经理
手机:15838253283(微信同号)
电话:0371-66557686
邮箱:1813885391@qq.com
地址:河南省巩义市工业园区
精选聚丙烯酰胺PAM生产厂家污水厂生物池的氨氮检测与DO控制
精选聚丙烯酰胺PAM厂家污水厂生物池的氨氮检测与DO控制。 大部分市政污水厂均采用成本最低廉的自然界微生物作为污水处理的核心,自然界的微生物对污染物质采取不同方式的降解,其中对有机物的降解主要依靠好氧微生物在氧气充足的情况下完成,还有就是生物脱氮的硝化过程和生物除磷的过量吸附磷的过程,需要在好氧的环境中进行。针对这些污染物质的去除的不同种类的微生物都有一个共同的需求,就是在氧气充足的环境下进行。因此在污水厂中,保证充足的氧气供给是出水水质稳定的必要因素。

在传统的活性污泥法的管控上,通过大量的曝气,基本能够保持活性污泥处理有机物所需的氧气,而且为了应对污水厂进水水质的变化,一般污水厂都会采用过量曝气的方式来消除进水水质的变化。但是过量曝气也带来一系列的问题:高能耗、脱氮除磷的缺氧厌氧环境难以保持、污泥老化严重等。随着各地的水环境进一步恶化,各级主管部门对污水厂的排放指标提出了更严格的要求,特别是氮磷指标的强化,使污水厂的运行管控必须从原有的不加控制过量曝气转变为精准控制的曝气。
多数污水厂的曝气控制仍然沿用出口的DO指标值作为控制指标,利用DO作为鼓风机调整的依据。但是DO作为一个过程控制参数和最终的出水指标之间仍有不同,仅仅依靠DO的单一控制往往无法有效的保证出水水质的稳定。
微生物对生物曝气池内的溶解氧的需求来说,首先满足的有机物去除所需的氧气,其次是硝化细菌硝化氨氮所需的氧气,两者在氧气的利用速率上有先后之分,硝化速率慢,一般会在有机物氧化后期再利用氧气,因此当硝化作用的氧气利用结束后,曝气池内提供的氧气就成为富裕的氧气了,如果通过检测生物曝气池内的氨氮,就能得出曝气量的充足与否,从而更好的控制DO,这种通过检测氨氮来进行DO的控制的方式称为ABAC(Ammonia-Based Aeration Control)基于氨氮的曝气控制系统。
采用ABAC的系统首先是依赖于在线氨氮的检测,现阶段多数污水厂仍在采用化学分析方法进行氨氮检测,氨氮的在线探头检测技术已经逐步开展,通过浸入水中探头实时监测水中的氨氮,为ABAC系统的使用提供了基础条件。污水厂原有的氨氮控制多数基于出水水质的监测,由于出水和主要氨氮的降解的生物池之间还有深度处理流程,污水通过这个流程会需要一段时间,因此在出水检测氨氮出现波动后,再去调整生物池状态往往已经滞后了,因此为了消除这种滞后带来的风险,运行人员需要将氨氮控制的比指标控制值更低,预留更多的缓冲空间,采用了在线氨氮的检测探头后,可以将氨氮检测提前到反应去进行,这样就能够实现实时调控的方式。通过实施调控,也可以精准的控制曝气,减少污水厂的能耗。
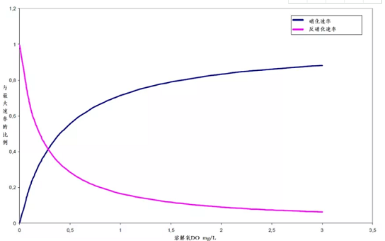
在生物的曝气反应池内设置氨氮检测探头以后,一般可以设置在曝气池的进口和中段位置,通过探头的检测来判断曝气池内的溶解氧提供的是否富裕,根据研究表明,富裕的溶解氧对硝化作用不再有明显促进作用,反而会严重抑制反硝化的反应,具体如下图所示:

从图中可以看到硝化速率在溶解氧到达1~1.5mg/L之间时,变化趋缓,而反硝化速率在溶解氧0~0.5mg/L之间急速下降,因此合理的控制溶解氧对生物脱氮反应是至关重要的。采用ABAC的控制方式,将传统的好氧池末端DO指标值与好氧池前段和中段的氨氮在线值结合起来,通过前端反馈的氨氮数值,末端的氨氮反馈信号,和设定的临界值作为参考数值,进入到DO的控制PLC内,计算所需的DO值,并与好氧区检测的溶解氧数值进行比较,得出是否需要进行曝气风机的调控指令。通过增加的氨氮探头完成了ABAC系统的精准曝气的控制。

ABAC系统在曝气池的DO控制中的优势是非常明显的,通过合理的调控曝气风量,降低系统的能耗,有资料表明通过采用ABAC系统的曝气池可以降低9~15%的风机能耗;合理的溶解氧保证了后续的反硝化反应的缺氧和生物释磷的厌氧环境的营造,为微生物更彻底的进行污染物去除提供了良好的条件;通过ABAC系统的使用可以降低过度曝气,消弱活性污泥老化的趋势,保持良好的活性污泥工况。
基于ABAC的控制理念,在国外的一些使用ABAC系统的污水厂,通过至少一整年的过程数据分析,同时在污水厂监测水厂的能源消耗,通过进水污染物的负荷以及氧的利用率来衡量ABAC系统的使用情况后,ABAC 系统展示了大约 9% 的能耗节省,构成 ABAC 系统的系统和设备能够准确地根据进入的氨氮负荷设置鼓风机的风量控制系统,从而确定适当的 DO 水平,最终而达到相应的通过控制空气供应来控制曝气池中的溶解氧浓度,在操作人员不断地对ABAC系统的认知水平的提升,更大的能耗节省也在不断地实现中。
随着对污水厂的能耗的加强控制,采用更为合理的控制体系,才能在保证出水的前提下实现节能降耗运行。
精选聚丙烯酰胺PAM厂家详情点击:http://www.lvliaochangjia.com/